Мы уже знаем правило умножения многочлена на многочлен. Но существуют правила, которыми удобно пользоваться при умножении многочленов в частных случаях.
Одним из таких частных случаев является произведение двух многочленов, один из которых представляет собой разность двух выражений, а другой - их сумму.
Умножим разность
на сумму
:

Получили тождество:
(1)
Следовательно, при умножении разности выражений на их сумму можно сразу записать результат - разность квадратов этих выражений. Поэтому полученное тождество называют формулой сокращенного умножения.
Правило:
| Произведение разности двух выражений и их суммы равно разности квадратов этих выражений. |
Примеры:
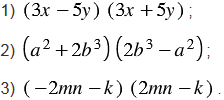
Выполните умножение многочленов:

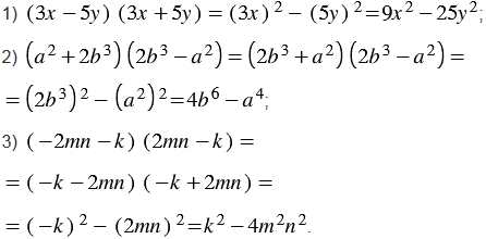
Решение:

Обратите внимание, при возведении выражений в квадрат используем свойства степени с натуральным показателем.
Если выражение (1) переписать так
,
то мы получим тождество, которое называют формулой разности квадратов двух выражений.
Правило:
| Разность квадратов двух выражений равна произведению разности этих выражений и их суммы. |
Примеры:
Разложите на множители:

Решение:

Квадрат суммы и квадрат разности двух выражений
Сумма и разность кубов двух выражений
Линейное уравнение с одной переменной
Решение задач с помощью уравнений
Тождественно равные выражения. Тождества
Степень с натуральным показателем
Свойства степени с натуральным показателем
Сложение и вычитание многочленов
Умножение одночлена на многочлен
Умножение многочлена на многочлен
Разложение многочленов на множители
Формулы сокращенного умножения
Квадратные корни. Дейстительные числа
Системы линейных уравнений с двумя переменными
Элементы математической логики
7 класс
Номер 542, Мерзляк, Полонский, Якир, Учебник
Номер 545, Мерзляк, Полонский, Якир, Учебник
Номер 551, Мерзляк, Полонский, Якир, Учебник
Номер 611, Мерзляк, Полонский, Якир, Учебник
Номер 642, Мерзляк, Полонский, Якир, Учебник
Номер 711, Мерзляк, Полонский, Якир, Учебник
Номер 712, Мерзляк, Полонский, Якир, Учебник
Номер 729, Мерзляк, Полонский, Якир, Учебник
Номер 1026, Мерзляк, Полонский, Якир, Учебник
Номер 1208, Мерзляк, Полонский, Якир, Учебник
8 класс
Номер 54, Мерзляк, Полонский, Якир, Учебник
Номер 75, Мерзляк, Полонский, Якир, Учебник
Номер 120, Мерзляк, Полонский, Якир, Учебник
Номер 147, Мерзляк, Полонский, Якир, Учебник
Номер 177, Мерзляк, Полонский, Якир, Учебник
Номер 182, Мерзляк, Полонский, Якир, Учебник
Номер 287, Мерзляк, Полонский, Якир, Учебник
Номер 544, Мерзляк, Полонский, Якир, Учебник
Номер 627, Мерзляк, Полонский, Якир, Учебник
Номер 635, Мерзляк, Полонский, Якир, Учебник