Номер 202 - ГДЗ Алгебра 7 класс. Мерзляк, Полонский. Учебник. Страница 42

Вернуться к содержанию учебника

Страница 42

199 200 201 202 203 204 205

Вопрос

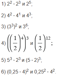
Сравните значение выражений:

Подсказка

Ответ


Вернуться к содержанию учебника