Номер 3. Задание "Проверь себя" №6 - ГДЗ Алгебра 7 класс. Мерзляк, Полонский. Учебник. Страница 175

Вернуться к содержанию учебника

Задание "Проверь себя" №6. Страница 175

7 1 2 3 4 5 6

Вопрос

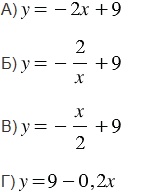
Какая из данных функций не является линейной?

Подсказка

Вспомните, какую функцию называют линейной.

Ответ

7 1 2 3 4 5 6


Вернуться к содержанию учебника