Вернуться к содержанию учебника
Упражнения § 8. Страница 62
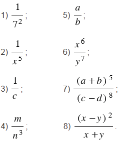
Представьте дробь в виде степени с целым отрицательным показателем или в виде произведения степеней:

Вспомните:
для любого отличного от нуля числа и натурального числа
.Вернуться к содержанию учебника