Вернуться к содержанию учебника
Упражнения § 9. Страница 70
272 273 1 274 275 276 277 278 279 280 281
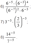
Найдите значение выражения:
1) 959-7;
2) 10-81012;
3) 3-18 : 3-21;
4) 2-92-12 : 2-22;
5) (174)-12(17-6)-8;
Вспомните: