Номер 328 - ГДЗ Алгебра 8 класс. Мерзляк, Полонский. Учебник. Страница 82

Вернуться к содержанию учебника

Упражнения § 10. Страница 82

325 326 327 328 329 330 331

Вопрос

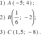
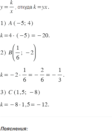
Найдите значение , при котором график функции проходит через точку:

Подсказка

Вспомните:

  1.  Что такое функция.
  2. Какую функцию называют обратной пропорциональностью.
  3. Что называют графиком функции.
  4. Как называется фигура, которая является графиком обратной пропорциональности.
  5. Умножение рациональных чисел.
  6. Умножение обыкновенных дробей.

Ответ


Вернуться к содержанию учебника