Номер 9. Задание "Проверь себя" №5 - ГДЗ Алгебра 7 класс. Мерзляк, Полонский. Учебник. Страница 129

Вернуться к содержанию учебника

Задание "Проверь себя" №5. Страница 129

6 7 8 9 10 11 12

Вопрос

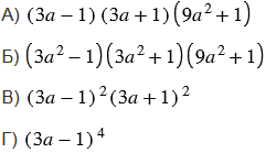
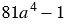
Разложите на множители многочлен .

Подсказка

Ответ

6 7 8 9 10 11 12


Вернуться к содержанию учебника