Номер 212 - ГДЗ Алгебра 8 класс. Мерзляк, Полонский. Учебник. Страница 57

Вернуться к содержанию учебника

Упражнения § 7. Страница 57

209 210 211 212 213 214 215

Вопрос

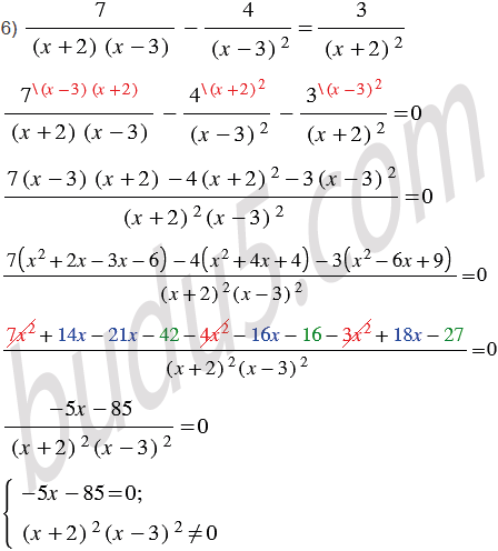
Решите уравнение:

Подсказка

Вспомните:

  1. Что значит решить уравнение.
  2. Какие уравнения называют равносильными, рациональными.
  3. Какую дробь называют рациональной, допустимые значения переменной.
  4. Линейное уравнение с одной переменной.
  5. Деление и дроби.
  6. Неправильные дроби.
  7. Деление с остатком.
  8. Смешанные числа.
  9. Разность квадратов двух выражений.
  10. Квадрат суммы и квадрат разности двух выражений.
  11. Свойства действий с рациональными числами.
  12. Основное свойство рациональной дроби.
  13. Подобные слагаемые.
  14. Разложение многочленов на множители.
  15. Степень с натуральным показателем.
  16. Свойства степени с натуральным показателем.
  17. Умножение одночлена на многочлен.
  18. Умножение многочлена на многочлен.
  19. Противоположные числа.
  20. Сложение рациональных чисел.
  21. Вычитание рациональных чисел.
  22. Деление рациональных чисел.
  23. Сложение и вычитание дробей с одинаковыми знаменателями.
  24. Сложение и вычитание дробей с разными знаменателями.

Ответ


Вернуться к содержанию учебника